?
Entrar
Cadastrar
Entrar
Cadastrar
Engenharia
Painel
Planos
Cursos
Documentos e Provas
Fórum de Dúvidas
Blog
Ajuda
01
02
-A
A
+A
Questão
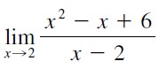
O limite da função abaixo é:
Adaptado de Stewart 7ed. Seção: 2.3 Ex: 13
0
- ∞
+ ∞
Não existe limite para a função dada.
Nenhuma das alternativas anteriores.
ENTRAR
CADASTRAR
Você precisa de uma conta no Me Salva! para responder exercícios.
Cursos
LIMT - Limites
LIMT36 - Lista de Exercícios de Limites no infinito de Funções Racionais
Comentários
COMENTAR